EXAMPLE 3: POTENTIAL ENERGY



Mass m is released from rest at A and moves on the smooth collar from A to B under the action of the spring and gravity. Calculate the speed of the particle before it hits B. The spring has an initial length of .

Solution:




Force analysis:

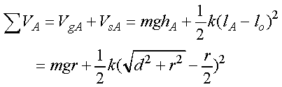
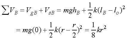
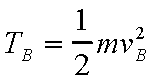
Balance of work and energy:


Starts from rest at A

(all forces which do work are conservative)

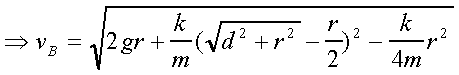
Substitution into (1) gives