EXAMPLE 1: POTENTIAL ENERGY

Calculate the potential energy of a constant force F.

Solution:

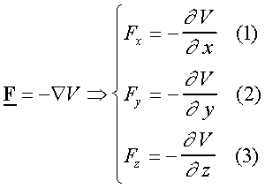
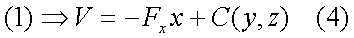
Since F is constant, then are constant. V is a function of (x,y,z). Therefore

Note that the constant of integration is not a real constant but is a function of y and z.

Substitution of (4) into (2) GIVES

Substitution of (5) into (3) gives

Therefore, the potential energy of a constant force F is