
To properly analyze this problem one needs to consider the bending of a composite beam made from two different materials. The kinematics is assumed to be the same for the bending of a uniform or composite section. Therefore, one arrives at the same relation for the strain curvature obtained for bending:

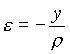
where
is the radius of the neutral axis and y is the distance measured from the neutral axis. In each material the total strain
is a sum of the strain due to thermal expansion
and strains resulting from mechanical loading
resulting in the relation:
![]()
Each strain is given by the relation:

Therefore, the stress in each material is given by the relation:

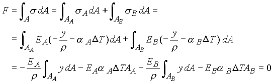
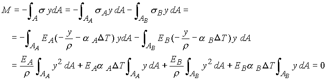
Let us use the subscript A and B to denote the two materials and let each have a width of b and a thickness of t. If we assume the beam is not under any external loading, both the axial load F and bending moment M must be zero. Therefore, we obtain the relations:


In these two equations one needs to substitute
and simultaneously solve for the location of the neutral axis
and the radius of curvature
. The expression for the radius of curvature will be in terms of the elastic moduli, the linear coefficients of thermal expansion, and the change in temperature. As the temperature rises, the radius of curvature will reduce (the curvature will increase) initiating the trigger to make the water flow.