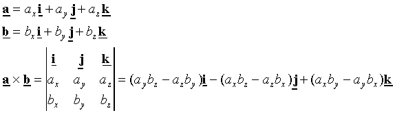
The cross product

The cross product of vectors a and b is perpendicular to both a and b and has a magnitude equal to area of the parallelogram generated from a and b. The direction of the cross product is given by the right hand rule.

Order is important in the cross product:

Calculating the cross product using rectangular coordinates:

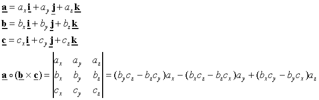
The triple product:

The volume of the parallelepiped constructed from the vectors a, b, and c is given by the triple product of the three vectors.