The math you need-1

For a right triangle:

The 3-4-5 triangle:


For a general triangle:


Sine law:

Cosine law:



The unit circle and trigonometric functions:



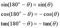
Elementary relation between trigonometric functions:

 

Values of trigonometric functions: